i = 2, 3, 4, ...嘗試看看 i 能不能整除n。
一旦可以整除,就輸出i,並且讓 n = n/i,直到無法整除為止。
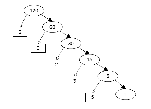
以120來說:

#include<iostream>
using namespace std;
int main()
{
int n;
int i;
cin >> n;
i = 2;
while( n > 1 )
{
while( n%i == 0 )
{
cout << i << " ";
n = n/i;
}
i = i+1;
}
cout << endl;
return 0;
}
讓 output 變成是 120 = 2^3 * 3^1 * 5^1 的形式